前沿拓展:减肥王怎样减肥方法
人到中年,“身”不由己。
为什么这么说呢?到了一定的年龄,我们会发现,无论是自己还是亲朋好友,都会发生一个变化,那就是:身材“发福”了……
但是为什么会这样呢?为什么有的人可以做到吃什么都不胖,可是有的人,平时就连“喝口水都会胖”?基础代谢决定着这一切。

今天阿飘就给大家讲讲有关基础代谢的一切,通过阅读这篇文章,你将收获以下知识点:
能量守恒定律与基础代谢节食“伤”基础代谢的路径方法论:如何有提升基础代谢一、能量守恒定律与基础代谢在给大家讲解基础代谢之前,能量守恒定律有必要说一下。
人体的能量守恒定律:剩余热量=热量的摄入-热量的消耗
对以上公式的注释:我们知道,减肥的原理,是控制热量摄入小于消耗。换句话说,想要减肥呢,说到底是要制造热量差。否则,能量产生了剩余,这些多余这些热量,就会转化成脂肪存储起来,我们就是这样变胖的。这也是为什么我们在减肥期间控制饮食的时候,要讲究热量差。

可能你会说了:哦!这个减肥原理啊,我知道啊,所以呢?其实阿飘这里想说的是,公式里的“热量的消耗,你可不要以为就是运动,它其实包含三部分的:基础新陈代谢、食物的热应、还有活动热消耗。

灰色部分:新陈代谢、橘色部分:食物的热应、绿色部分:活动热消耗。上边儿那个条显示的是女性,下边是男
因为这个文章逻辑的关系,关于基础新陈代谢我们放在后面说,先说前两个:活动热消耗和食物热应。
a.活动热消耗
活动热消耗好理解,无论你去慢跑还是去健身房,上下班或者做家务,这些都属于“活动”的热量消耗,即活动热消耗。这部分在每日热量消耗的贡献率为30%左右。
b.食物热应
什么是食物的热应?其实理解起来并不难。你以为我们的身体消化吸收食物就不需要热量了吗?同样需要的,这就是食物热应。另外,不同食物的热应还是不一样的,比如,富含碳水化合物的食物的热应,在自身可提供热量的5%-6%,脂肪为4%-5%,蛋白质食物占到了30%-40%,这下你明白为什么很多减肥方法里提到要多吃富含蛋白质食物了吧。
c.基础新陈代谢
基础新陈代谢占到了每天总消耗的60%,指的是:身体为了维持正常的生命活动(如呼吸、心跳、各个器官的运转)所消耗的热量。所以,想要达到“怎么都吃不胖”的境界,提升基础代谢很关键。下面展开介绍。

关于基础代谢,可以更简单去理解,就是,即使你跟家里躺着什么也不做,我们身体的一切生命活动,都需要消耗热量,这就是我们的基础代谢。对此,你可以想象一下,如果我们每天的饮食摄入,连起码的基础代谢都达不到会是什么结果:身体肯定会出问题。
所以说,大家可以根据下面的公式算一算,看看自己的基础代谢是多少:
男性:基础代谢率(每日消耗的卡路里)=66+[13.7×体重(kg)]+[5×身高(cm)]–(6.8×年龄)
女性:基础代谢率(每日消耗的卡路里)=65+[9.6×体重(kg)]+[1.7×身高(cm)]–(4.7×年龄)
当然了,公式算出来只是参考啊,毕竟每个人的基础代谢还是受到诸多因素影响的,如年龄、性别(男/女)、睡眠、内分泌等,这里我们重点说一下年龄。

在开头我有说到,为什么到了一定年龄,很多人的身体纷纷发福了呢?主要是因为,随着年龄的增长,25岁后,我们的基础新陈代谢是会往下降低的。为什么会这样?25岁前,那时候是我们整个身体生命力旺盛的阶段,能量需求大,代谢也高;25岁后,,我们身体的代谢能力呈现出下降趋势;到了40岁,相关数据表明,平均每10年,我们的代谢率会下降5%。综上,当你和别人吃同样的食物,如果你的代谢能力较差较低,就会出现别人怎么吃都不胖,而你喝水都会胖的现象了。
二、节食损害基础代谢的路径看完上面这部分,想必你已经明白了,想要改变自己“发福”的状态,或者说,想要变成“怎么都吃不胖”的易瘦体质,提高基础代谢很关键,但这里阿飘想说的是:一定不要节食。节食是很多人都会采用的减肥方法,但也是很“伤”基础代谢的一种。典型的错误。
因为你要知道,身体是很聪明的,当我们采用节食的办法减肥时候,其实身体是无法分辨你是有意要这么做还是在度过“饥荒”的,一旦身体认为你是在度过“饥荒”,身体就会将你的新陈代谢切换到另一种模式,所谓的“低档位”,这也是为了保护你不被饿死。这里你可以想象一下,本来自己吃的都很少了,但如果代谢还这么高,会怎样呢?身体肯定是扛不住的。

在这种情况下,身体已经意识到你其实每天摄入的热量都很少,它就开始存储你的脂肪,然后你身体所需的能量靠肌肉提供,这也是为什么当我们节食减肥一段时间后,体重下降了,因为掉的大多数都是肌肉和水分,如果你遇到了这种情况,还是先别着急开心啦。因为肌肉流失了,你的基础代谢下降了,某天,当你一旦控制不住饮食开始大吃特吃时,身体就会迅速吸收能量,脂肪就会迅速回到你身上,你就反弹了。而基础代谢也不会自己提高上来。
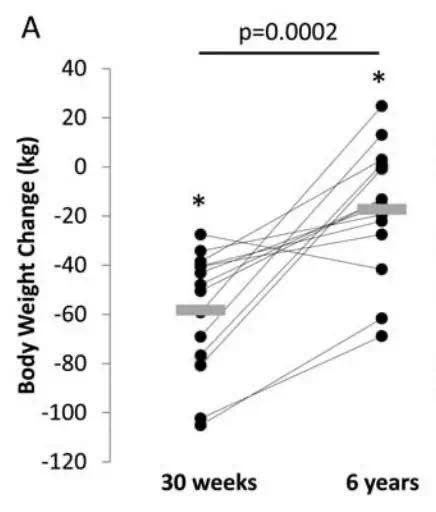
之前有给大家介绍过美国减肥节目《减肥王》,他们为了在短时间内达到快速减重的目的并获得一定的奖金,很多人都采取了节食的方法。刚开始确实收了,但后来呢?

看下面这张图,这是他们30周赛期与其6年间体重变化,黑点代表个人,灰色矩形代表体重平均值。
可以看到体重的平均值其实上升了很多,大多数人都反弹了。
所以说,想要提高自己的基础新陈代谢,养成怎么都吃不胖的“易瘦体质”,一定不要节食,一定不要节食,一定不要节食!
三、方法论:如何有地提升基础代谢想要通过提升基础代谢帮助减肥,推荐你按照下面的方法做,都很简单,养成习惯,坚持就会有果。
第一招:多吃优质蛋白质食物

减肥期间,多补充优质蛋白,多吃富含蛋白质的食物,对身体有很多好处。因为蛋白质属于大分子食物,不仅可以提供饱腹感,帮你控制食欲外,重要的,它是构成肌肉的基础,从某种程度上讲,一个人的肌肉越多,往往代表着,这个人基础代谢也是高的。人体燃烧更多热量。相反,如果你采用节食的方式减肥,上面已经提到了,就会掉肌肉,结果导致基础代谢的下降。所以说,平时可以多吃肉、蛋、奶、豆类食物,比如鸡胸肉、瘦牛肉、鸡蛋、牛奶、大豆等,这些食物都是优质的蛋白质来源。
第二招:无氧运动不可少

上文有提到,随着年龄的增长,基础代谢会下降,其实也跟身体肌肉含量有关,呈现下降趋势。因此,想要提到代谢,我们可以“转守为攻”,通过无氧运动锻炼的方式,努力增加身体肌肉含量。在做无氧运动的同时,我们的肌肉会有轻微撕裂,这时辅助刚才我们的那招,多吃富含蛋白质的食物,就可以增强肌肉纤维,使它更加强壮。而这,就是我们所说的增肌了。
第三招:多喝水

水对身体的重要性不言而喻,人体的三分之二都是水分构成的,脂肪的代谢需要水,日常生活中,充足的水分摄入,对身体排毒、提神醒脑也很有帮助。关键的,它可以加速我们的身体代谢:当人体缺水时,基础代谢会有所下降,而根据德国一项研究表明,在一定时间内喝两杯水就可以让我们的基础新陈代谢加快30%左右。当然了,这里的水是白水哈,不是饮料。
第四招:睡眠

我们睡觉的时候,身体会分泌激素——一种叫作生长激素的荷尔蒙。这种激素和新陈代谢息息相关(分泌不足,基础代谢会下降)。但是这里你不要误以为我们睡着了它就分泌了,是有一个时间段的,主要在晚上11到凌晨1点,错过了这个时间,就是睡的时间再长,也不能补回来。因此,减肥期间我们还是要规律作息的,争取每天11点前就睡觉,睡眠时长在7-8小时(中午也可以补觉),长期坚持,你会发现自己不知不觉就变瘦了。
总结看完以上这些提升基础代谢的要点,想必你已经有所收获了,想要变成怎么都吃不胖的体瘦体质,不仅仅是控制饮食和加强运动那么简单,涉及到我们生活的方方面面,重要的还是习惯,希望你能成功吧。
拓展知识:减肥王怎样减肥方法
不好
傣药俏可以
追答
吃饭正常也瘦